This is the version of 29 CFR 1910.269 that was in effect on April 11, 2014. As of July 10, 2014, this version of 29 CFR 1910.269 is no longer in effect. In accordance with OSHA's temporary enforcement policy dated June 20, 2014, compliance with this version of 29 CFR 1910.269 will be accepted as compliance with the current versions of 29 CFR 1910.269 and 29 CFR 1926, Subpart V through October 31, 2014.

• Part Number: 1910
• Part Title: Occupational Safety and Health Standards
• Subpart: R
• Subpart Title: Special Industries
• Standard Number: 1910.269 App B
• Title: Working on Exposed Energized Parts.

Appendix B to §1910.269 -- Working on Exposed Energized Parts

I. Introduction

Electric transmission and distribution line installations have been designed to meet National Electrical Safety Code (NESC), ANSI C2, requirements and to provide the level of line outage performance required by system reliability criteria. Transmission and distribution lines are also designed to withstand the maximum overvoltages expected to be impressed on the system. Such overvoltages can be caused by such conditions as switching surges, faults, or lightning. Insulator design and lengths and the clearances to structural parts (which, for low voltage through extra-high voltage, or EHV, facilities, are generally based on the performance of the line as a result of contamination of the insulation or during storms) have, over the years, come closer to the minimum approach distances used by workers (which are generally based on non-storm conditions). Thus, as minimum approach (working) distances and structural distances (clearances) converge, it is increasingly important that basic considerations for establishing safe approach distances for performing work be understood by the designers and the operating and maintenance personnel involved.

The information in this Appendix will assist employers in complying with the minimum approach distance requirements contained in paragraphs (l)(2) and (q)(3) of this section. The technical criteria and methodology presented herein is mandatory for employers using reduced minimum approach distances as permitted in Table R-7 and Table R-8. This Appendix is intended to provide essential background information and technical criteria for the development or modification, if possible, of the safe minimum approach distances for electric transmission and distribution live-line work. The development of these safe distances must be undertaken by persons knowledgeable in the techniques discussed in this appendix and competent in the field of electric transmission and distribution system design.

II. General

A. Definitions

The following definitions from 1910.269(x) relate to work on or near transmission and distribution lines and equipment and the electrical hazards they present.

Exposed. Not isolated or guarded.

Guarded. Covered, fenced, enclosed, or otherwise protected, by means of suitable covers or casings, barrier rails or screens, mats, or platforms, designed to minimize the possibility, under normal conditions, of dangerous approach or accidental contact by persons or objects.

NOTE: Wires which are insulated, but not otherwise protected, are not considered as guarded.

Insulated. Separated from other conducting surfaces by a dielectric (including air space) offering a high resistance to the passage of current.

NOTE: When any object is said to be insulated, it is understood to be insulated for the conditions to which it is normally subjected. Otherwise, it is, within the purpose of this section, uninsulated.

B. Installations Energized at 50 to 300 Volts

The hazards posed by installations energized at 50 to 300 volts are the same as those found in many other workplaces. That is not to say that there is no hazard, but the complexity of electrical protection required does not compare to that required for high voltage systems. The employee must avoid contact with the exposed parts, and the protective equipment used (such as rubber insulating gloves) must provide insulation for the voltages involved.

C. Exposed Energized Parts Over 300 Volts AC

Table R-6, Table R-7, and Table R-8 of 1910.269 provide safe approach and working distances in the vicinity of energized electric apparatus so that work can be done safely without risk of electrical flashover.

The working distances must withstand the maximum transient overvoltage that can reach the work site under the working conditions and practices in use. Normal system design may provide or include a means to control transient overvoltages, or temporary devices may be employed to achieve the same result. The use of technically correct practices or procedures to control overvoltages (for example, portable gaps or preventing the automatic control from initiating breaker reclosing) enables line design and operation to be based on reduced transient overvoltage values. Technical information for U.S. electrical systems indicates that current design provides for the following maximum transient overvoltage values (usually produced by switching surges): 362 kV and less -- 3.0 per unit; 552 kV -- 2.4 per unit; 800 kV -- 2.0 per unit.

Additional discussion of maximum transient overvoltages can be found in paragraph IV.A.2, later in this Appendix.

III. Determination of the Electrical Component of Minimum Approach Distances

A. Voltages of 1.1 kV to 72.5 kV

For voltages of 1.1 kV to 72.5 kV, the electrical component of minimum approach distances is based on American National Standards Institute (ANSI)/American Institute of Electrical Engineers (AIEE) Standard No.4, March 1943, Tables III and IV. (AIEE is the predecessor technical society to the Institute of Electrical and Electronic Engineers (IEEE).) These distances are calculated by the following formula:

Equation (1) - For voltages of 1.1 kV to 72.5 kV

(For Equation 1, Click Here)

Where:

D = Electrical component of the minimum approach distance in air in feet
V(max) = Maximum rated line-to-ground rms voltage in kV
pu = Maximum transient overvoltage factor in per unit

Source: AIEE Standard No. 4, 1943.

This formula has been used to generate Table 1.

   Table 1. - AC Energized Line-Work Phase-to-Ground Electrical
                   Component of the Minimum Approach
                      Distance - 1.1 to 72.5 kV
____________________________________________________________________
                         |
  Maximum anticipated    |          Phase to phase voltage
     per-unit            |__________________________________________
  transient overvoltage  |        |           |         |
                         | 15,000 |  36,000   | 46,000  |   72,500
_________________________|________|___________|_________|___________
                         |        |           |         |
3.0..................... |   0.08 |     0.33  |    0.49 |     1.03
_________________________|________|___________|_________|___________

 NOTE: The distances given (in feet) are for air as the insulating
medium and provide no additional clearance for inadvertent movement.

B. Voltages of 72.6 kV to 800 kV

For voltages of 72.6 kV to 800 kV, the electrical component of minimum approach distances is based on ANSI/IEEE Standard 516-1987, "IEEE Guide for Maintenance Methods on Energized Power Lines." This standard gives the electrical component of the minimum approach distance based on power frequency rod-gap data, supplemented with transient overvoltage information and a saturation factor for high voltages. The distances listed in ANSI/IEEE Standard 516 have been calculated according to the following formula:

Equation (2) - For voltages of 72.6 kV to 800 kV

D = (C + a)pu V(MAX)

Where:

D = Electrical component of the minimum approach distance in air in feet
C = 0.01 to take care of correction factors associated with the variation of gap sparkover with voltage
a = A factor relating to the saturation of air at voltages of 345 kV or higher
pu = Maximum anticipated transient overvoltage, in per unit (p.u.)
V(MAX) = Maximum rms system line-to-ground voltage in kilovolts - it should be the "actual" maximum, or the normal highest voltage for the range (for example, 10 percent above the nominal voltage)

SOURCE: Formula developed from ANSI/IEEE Standard No. 516, 1987.

This formula is used to calculate the electrical component of the minimum approach distances in air and is used in the development of Table 2 and Table 3.

Table 2. - AC Energized Line-Work Phase-to-Ground Electrical
           Component of the Minimum Approach Distance
                       - 121 to 242 kV
_____________________________________________________________________
                       |
  Maximum anticipated  |        Phase to phase voltage
     per-unit          |_____________________________________________
 transient overvoltage |            |         |          |
                       |   121,000  | 145,000 | 169,000  |  242,000
_______________________|____________|_________|__________|___________
                       |            |         |          |
2.0................... |       1.40 |    1.70 |     2.00 |      2.80
2.1................... |       1.47 |    1.79 |     2.10 |      2.94
2.2................... |       1.54 |    1.87 |     2.20 |      3.08
2.3................... |       1.61 |    1.96 |     2.30 |      3.22
2.4................... |       1.68 |    2.04 |     2.40 |      3.35
2.5................... |       1.75 |    2.13 |     2.50 |      3.50
2.6................... |       1.82 |    2.21 |     2.60 |      3.64
2.7................... |       1.89 |    2.30 |     2.70 |      3.76
2.8................... |       1.96 |    2.38 |     2.80 |      3.92
2.9................... |       2.03 |    2.47 |     2.90 |      4.05
3.0................... |       2.10 |    2.55 |     3.00 |      4.29
_______________________|____________|_________|__________|__________
 NOTE: The distances given (in feet) are for air as the insulating
medium and provide no additional clearance for inadvertent movement.


     Table 3. - AC Energized Line-Work Phase-to-Ground
                 Electrical Component of the Minimum
                  Approach Distance - 362 to 800 kv

____________________________________________________________________
                       |
  Maximum anticipated  |        Phase to phase voltage
     per-unit          |____________________________________________
 transient overvoltage |               |              |
                       |   362,000     |    552,000   |   800,000
_______________________|_______________|______________|_____________
                       |               |              |
1.5................... | ............. |         4.97 |       8.66
1.6................... | ............. |         5.46 |       9.60
1.7................... | ............. |         5.98 |      10.60
1.8................... | ............. |         6.51 |      11.64
1.9................... | ............. |         7.08 |      12.73
2.0................... |          4.20 |         7.68 |      13.86
2.1................... |          4.41 |         8.27 | ..........
2.2................... |          4.70 |         8.87 | ..........
2.3................... |          5.01 |         9.49 | ..........
2.4................... |          5.34 |        10.21 | ..........
2.5................... |          5.67 | ............ | ..........
2.6................... |          6.01 | ............ | ..........
2.7................... |          6.36 | ............ | ..........
2.8................... |          6.73 | ............ | ..........
2.9................... |          7.10 | ............ | ..........
3.0................... |          7.48 | ............ | ..........
_______________________|_______________|______________|_____________

 NOTE: The distances given (in feet) are for air as the insulating
medium and provide no additional clearance for inadvertent movement.

C. Provisions for Inadvertent Movement

The minimum approach distances (working distances) must include an "adder" to compensate for the inadvertent movement of the worker relative to an energized part or the movement of the part relative to the worker. A certain allowance must be made to account for this possible inadvertent movement and to provide the worker with a comfortable and safe zone in which to work. A distance for inadvertent movement (called the "ergonomic component of the minimum approach distance") must be added to the electrical component to determine the total safe minimum approach distances used in live-line work.

One approach that can be used to estimate the ergonomic component of the minimum approach distance is response time-distance analysis. When this technique is used, the total response time to a hazardous incident is estimated and converted to distance travelled. For example, the driver of a car takes a given amount of time to respond to a "stimulus" and stop the vehicle. The elapsed time involved results in a distance being travelled before the car comes to a complete stop. This distance is dependent on the speed of the car at the time the stimulus appears.

In the case of live-line work, the employee must first perceive that he or she is approaching the danger zone. Then, the worker responds to the danger and must decelerate and stop all motion toward the energized part. During the time it takes to stop, a distance will have been traversed. It is this distance that must be added to the electrical component of the minimum approach distance to obtain the total safe minimum approach distance.

At voltages below 72.5 kV, the electrical component of the minimum approach distance is smaller than the ergonomic component. At 72.5 kV the electrical component is only a little more than 1 foot. An ergonomic component of the minimum approach distance is needed that will provide for all the worker's unexpected movements. The usual live-line work method for these voltages is the use of rubber insulating equipment, frequently rubber gloves. The energized object needs to be far enough away to provide the worker's face with a safe approach distance, as his or her hands and arms are insulated. In this case, 2 feet has been accepted as a sufficient and practical value.

For voltages between 72.6 and 800 kV, there is a change in the work practices employed during energized line work. Generally, live-line tools (hot sticks) are employed to perform work while equipment is energized. These tools, by design, keep the energized part at a constant distance from the employee and thus maintain the appropriate minimum approach distance automatically.

The length of the ergonomic component of the minimum approach distance is also influenced by the location of the worker and by the nature of the work. In these higher voltage ranges, the employees use work methods that more tightly control their movements than when the workers perform rubber glove work. The worker is farther from energized line or equipment and needs to be more precise in his or her movements just to perform the work.

For these reasons, a smaller ergonomic component of the minimum approach distance is needed, and a distance of 1 foot has been selected for voltages between 72.6 and 800 kV.

Table 4 summarizes the ergonomic component of the minimum approach distance for the two voltage ranges.

   Table 4. - Ergonomic Component of Minimum Approach Distance
____________________________________________________________________
                                |
      Voltage range (kV)        |         Distance (feet)
________________________________|___________________________________
                                |
1.1 to 72.5.....................|              2.0
72.6 to 800.....................|              1.0
________________________________|___________________________________

 NOTE: This distance must be added to the electrical component of
the minimum approach distance to obtain the full minimum approach
distance.

D. Bare-Hand Live-Line Minimum Approach Distances

Calculating the strength of phase-to-phase transient overvoltages is complicated by the varying time displacement between overvoltages on parallel conductors (electrodes) and by the varying ratio between the positive and negative voltages on the two electrodes. The time displacement causes the maximum voltage between phases to be less than the sum of the phase-to-ground voltages. The International Electrotechnical Commission (IEC) Technical Committee 28, Working Group 2, has developed the following formula for determining the phase-to-phase maximum transient overvoltage, based on the per unit (p.u.) of the system nominal voltage phase-to-ground crest:

pu(p) = pu(g) + 1.6.

Where:

pu(g) = p.u. phase-to-ground maximum transient overvoltage
pu(p) = p.u. phase-to-phase maximum transient overvoltage

This value of maximum anticipated transient overvoltage must be used in Equation (2) to calculate the phase-to-phase minimum approach distances for live-line bare-hand work.

E. Compiling the Minimum Approach Distance Tables

For each voltage involved, the distance in Table 4 in this appendix has been added to the distance in Table 1, Table 2 or Table 3 in this appendix to determine the resulting minimum approach distances in Table R-6, Table R-7, and Table R-8 in 1910.269.

F. Miscellaneous Correction Factors

The strength of an air gap is influenced by the changes in the air medium that forms the insulation. A brief discussion of each factor follows, with a summary at the end.

1. Dielectric strength of air. The dielectric strength of air in a uniform electric field at standard atmospheric conditions is approximately 31 kV (crest) per cm at 60 Hz. The disruptive gradient is affected by the air pressure, temperature, and humidity, by the shape, dimensions, and separation of the electrodes, and by the characteristics of the applied voltage (wave shape).

2. Atmospheric effect. Flashover for a given air gap is inhibited by an increase in the density (humidity) of the air. The empirically determined electrical strength of a given gap is normally applicable at standard atmospheric conditions (20 deg. C, 101.3 kPa, 11 g/cm3 humidity).

The combination of temperature and air pressure that gives the lowest gap flashover voltage is high temperature and low pressure. These are conditions not likely to occur simultaneously. Low air pressure is generally associated with high humidity, and this causes increased electrical strength. An average air pressure is more likely to be associated with low humidity. Hot and dry working conditions are thus normally associated with reduced electrical strength.

The electrical component of the minimum approach distances in Table 1, Table 2, and Table 3 has been calculated using the maximum transient overvoltages to determine withstand voltages at standard atmospheric conditions.

3. Altitude. The electrical strength of an air gap is reduced at high altitude, due principally to the reduced air pressure. An increase of 3 percent per 300 meters in the minimum approach distance for altitudes above 900 meters is required. Table R-10 of 1910.269 presents this information in tabular form.

Summary. After taking all these correction factors into account and after considering their interrelationships relative to the air gap insulation strength and the conditions under which live work is performed, one finds that only a correction for altitude need be made. An elevation of 900 meters is established as the base elevation, and the values of the electrical component of the minimum approach distances has been derived with this correction factor in mind. Thus, the values used for elevations below 900 meters are conservative without any change; corrections have to be made only above this base elevation.

IV. Determination of Reduced Minimum Approach Distances

A. Factors Affecting Voltage Stress at the Work Site

1. System voltage (nominal). The nominal system voltage range sets the absolute lower limit for the minimum approach distance. The highest value within the range, as given in the relevant table, is selected and used as a reference for per unit calculations.

2. Transient overvoltages. Transient overvoltages may be generated on an electrical system by the operation of switches or breakers, by the occurrence of a fault on the line or circuit being worked or on an adjacent circuit, and by similar activities. Most of the overvoltages are caused by switching, and the term "switching surge" is often used to refer generically to all types of overvoltages. However, each overvoltage has an associated transient voltage wave shape. The wave shape arriving at the site and its magnitude vary considerably.

The information used in the development of the minimum approach distances takes into consideration the most common wave shapes; thus, the required minimum approach distances are appropriate for any transient overvoltage level usually found on electric power generation, transmission, and distribution systems. The values of the per unit (p.u.) voltage relative to the nominal maximum voltage are used in the calculation of these distances.

3. Typical magnitude of overvoltages. The magnitude of typical transient overvoltages is given in Table 5.

4. Standard deviation -- air-gap withstand. For each air gap length, and under the same atmospheric conditions, there is a statistical variation in the breakdown voltage. The probability of the breakdown voltage is assumed to have a normal (Gaussian) distribution. The standard deviation of this distribution varies with the wave shape, gap geometry, and atmospheric conditions. The withstand voltage of the air gap used in calculating the electrical component of the minimum approach distance has been set at three standard deviations (3 sigma(1)) below the critical flashover voltage. (The critical flashover voltage is the crest value of the impulse wave that, under specified conditions, causes flashover on 50 percent of the applications. An impulse wave of three standard deviations below this value, that is, the withstand voltage, has a probability of flashover of approximately 1 in 1000.)

     Table 5. - Magnitude of Typical Transient Overvoltages

___________________________________________________________________
                                         |
         Cause                           |  Magnitude (per unit)
_________________________________________|_________________________
                                         |
Energized 200 mile line without          |
  closing resistors......................|         3.5
Energized 200 mile line with one step    |
  closing resistor.......................|         2.1
Energized 200 mile line with multi-step  |
  resistor...............................|         2.5
Reclosed with trapped charge one step    |
  resistor...............................|         2.2
Opening surge with single restrike.......|         3.0
Fault initiation unfaulted phase.........|         2.1
Fault initiation adjacent circuit........|         2.5
Fault clearing...........................|   1.7 - 1.9
_________________________________________|_________________________
 SOURCE: ANSI/IEEE Standard No. 516, 1987.

5. Broken Insulators. Tests have shown that the insulation strength of an insulator string with broken skirts is reduced. Broken units may have lost up to 70% of their withstand capacity. Because the insulating capability of a broken unit cannot be determined without testing it, damaged units in an insulator are usually considered to have no insulating value. Additionally, the overall insulating strength of a string with broken units may be further reduced in the presence of a live-line tool alongside it. The number of good units that must be present in a string is based on the maximum overvoltage possible at the worksite.

B. Minimum Approach Distances Based on Known Maximum Anticipated Per-Unit Transient Overvoltages

1. Reduction of the minimum approach distance for AC systems. When the transient overvoltage values are known and supplied by the employer, Table R-7 and Table R-8 of 1910.269 allow the minimum approach distances from energized parts to be reduced. In order to determine what this maximum overvoltage is, the employer must undertake an engineering analysis of the system. As a result of this engineering study, the employer must provide new live work procedures, reflecting the new minimum approach distances, the conditions and limitations of application of the new minimum approach distances, and the specific practices to be used when these procedures are implemented.

2. Calculation of reduced approach distance values. The following method of calculating reduced minimum approach distances is based on ANSI/IEEE Standard 516:

Step 1. Determine the maximum voltage (with respect to a given nominal voltage range) for the energized part.

Step 2. Determine the maximum transient overvoltage (normally a switching surge) that can be present at the work site during work operation.

Step 3. Determine the technique to be used to control the maximum transient overvoltage. (See paragraphs IV.C and IV.D of this appendix.) Determine the maximum voltage that can exist at the work site with that form of control in place and with a confidence level of 3 sigma. This voltage is considered to be the withstand voltage for the purpose of calculating the appropriate minimum approach distance.

Step 4. Specify in detail the control technique to be used, and direct its implementation during the course of the work.

Step 5. Using the new value of transient overvoltage in per unit (p.u.), determine the required phase-to-ground minimum approach distance from Table R-7 or Table R-8 of 1910.269.

C. Methods of Controlling Possible Transient Overvoltage Stress Found on a System

1. Introduction. There are several means of controlling overvoltages that occur on transmission systems. First, the operation of circuit breakers or other switching devices may be modified to reduce switching transient overvoltages. Second, the overvoltage itself may be forcibly held to an acceptable level by means of installation of surge arresters at the specific location to be protected. Third, the transmission system may be changed to minimize the effect of switching operations.

2. Operation of circuit breakers.(2) The maximum transient overvoltage that can reach the work site is often due to switching on the line on which work is being performed. If the automatic-reclosing is removed during energized line work so that the line will not be re-energized after being opened for any reason, the maximum switching surge overvoltage is then limited to the larger of the opening surge or the greatest possible fault-generated surge, provided that the devices (for example, insertion resistors) are operable and will function to limit the transient overvoltage. It is essential that the operating ability of such devices be assured when they are employed to limit the overvoltage level. If it is prudent not to remove the reclosing feature (because of system operating conditions), other methods of controlling the switching surge level may be necessary.

Transient surges on an adjacent line, particularly for double circuit construction, may cause a significant overvoltage on the line on which work is being performed. The coupling to adjacent lines must be accounted for when minimum approach distances are calculated based on the maximum transient overvoltage.

3. Surge arresters. The use of modern surge arresters has permitted a reduction in the basic impulse-insulation levels of much transmission system equipment. The primary function of early arresters was to protect the system insulation from the effects of lightning. Modern arresters not only dissipate lightning-caused transients, but may also control many other system transients that may be caused by switching or faults.

It is possible to use properly designed arresters to control transient overvoltages along a transmission line and thereby reduce the requisite length of the insulator string. On the other hand, if the installation of arresters has not been used to reduce the length of the insulator string, it may be used to reduce the minimum approach distance instead.(3)

4. Switching Restrictions. Another form of overvoltage control is the establishment of switching restrictions, under which breakers are not permitted to be operated until certain system conditions are satisfied. Restriction of switching is achieved by the use of a tagging system, similar to that used for a "permit", except that the common term used for this activity is a "hold-off" or "restriction". These terms are used to indicate that operation is not prevented, but only modified during the live-work activity.

D. Minimum Approach Distance Based on Control of Voltage Stress (Overvoltages) at the Work Site.

Reduced minimum approach distances can be calculated as follows:

1. First Method -- Determining the reduced minimum approach distance from a given withstand voltage.(4)

Step 1. Select the appropriate withstand voltage for the protective gap based on system requirements and an acceptable probability of actual gap flashover.

Step 2. Determine a gap distance that provides a withstand voltage(5) greater than or equal to the one selected in the first step.(6)

Step 3. Using 110 percent of the gap's critical flashover voltage, determine the electrical component of the minimum approach distance from Equation (2) or Table 6, which is a tabulation of distance vs. withstand voltage based on Equation (2).

Step 4. Add the 1-foot ergonomic component to obtain the total minimum approach distance to be maintained by the employee.

2. Second Method -- Determining the necessary protective gap length from a desired (reduced) minimum approach distance.

Step 1. Determine the desired minimum approach distance for the employee. Subtract the 1-foot ergonomic component of the minimum approach distance.

Step 2. Using this distance, calculate the air gap withstand voltage from Equation (2). Alternatively, find the voltage corresponding to the distance in Table 6.(7)

Step 3. Select a protective gap distance corresponding to a critical flashover voltage that, when multiplied by 110 percent, is less than or equal to the withstand voltage from Step 2.

Step 4. Calculate the withstand voltage of the protective gap (85 percent of the critical flashover voltage) to ensure that it provides an acceptable risk of flashover during the time the gap is installed.

  Table 6. - Withstand Distances for Transient Overvoltages
____________________________________________________________________
                          |
 Crest voltage (kV)       |   Withstand distance (in feet) air gap
__________________________|_________________________________________
                          |
100.......................|            0.71
150.......................|            1.06
200.......................|            1.41
250.......................|            1.77
300.......................|            2.12
350.......................|            2.47
400.......................|            2.83
450.......................|            3.18
500.......................|            3.54
550.......................|            3.89
600.......................|            4.24
650.......................|            4.60
700.......................|            5.17
750.......................|            5.73
800.......................|            6.31
850.......................|            6.91
900.......................|            7.57
950.......................|            8.23
1000......................|            8.94
1050......................|            9.65
1100......................|           10.42
1150......................|           11.18
1200......................|           12.05
1250......................|           12.90
1300......................|           13.79
1350......................|           14.70
1400......................|           15.64
1450......................|           16.61
1500......................|           17.61
1550......................|           18.63
__________________________|_________________________________________
 SOURCE: Calculations are based on Equation (2).

 NOTE: The air gap is based on the 60-Hz rod-gap withstand distance.

3. Sample protective gap calculations.

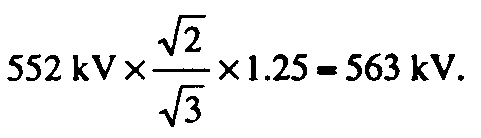
Problem 1: Work is to be performed on a 500-kV transmission line that is subject to transient overvoltages of 2.4 p.u. The maximum operating voltage of the line is 552 kV. Determine the length of the protective gap that will provide the minimum practical safe approach distance. Also, determine what that minimum approach distance is.

Step 1. Calculate the smallest practical maximum transient overvoltage (1.25 times the crest line-to-ground voltage):(8)

(For Equation in Step 1, Click Here)

This will be the withstand voltage of the protective gap.

Step 2. Using test data for a particular protective gap, select a gap that has a critical flashover voltage greater than or equal to:

563 kV / 0.85 = 662 kV.

For example, if a protective gap with a 4.0-foot spacing tested to a critical flashover voltage of 665 kV, crest, select this gap spacing.

Step 3. This protective gap corresponds to a 110 percent of critical flashover voltage value of:

665 kV X 1.10 = 732 kV.

This corresponds to the withstand voltage of the electrical component of the minimum approach distance.

Step 4. Using this voltage in Equation (2) results in an electrical component of the minimum approach distance of:

(For Equation in Step 4, Click Here)

Step 5. Add 1 foot to the distance calculated in step 4, resulting in a total minimum approach distance of 6.5 feet.

Problem 2: For a line operating at a maximum voltage of 552 kV subject to a maximum transient overvoltage of 2.4 p.u., find a protective gap distance that will permit the use of a 9.0-foot minimum approach distance. (A minimum approach distance of 11 feet, 3 inches is normally required.)

Step 1. The electrical component of the minimum approach distance is 8.0 feet (9.0-1.0).

Step 2. From Table 6, select the withstand voltage corresponding to a distance of 8.0 feet. By interpolation:

            _                       _
           |        (8.00 - 7.57)    |
  900 kV + | 50 X ------------------ | = 933 kV.
           |        (8.23 - 7.57)    |
           |_                       _|

Step 3. The voltage calculated in Step 2 corresponds to 110 percent of the critical flashover voltage of the gap that should be employed. Using test data for a particular protective gap, select a gap that has a critical flashover voltage less than or equal to:

D=(0.01 + 0.0006) x 732 kV divided by square root of 2

For example, if a protective gap with a 5.8-foot spacing tested to a critical flashover voltage of 820 kV, crest, select this gap spacing.

Step 4. The withstand voltage of this protective gap would be:

820 kV X 0.85 = 697 kV.

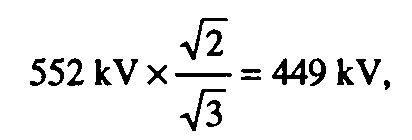
The maximum operating crest voltage would be:

(For Equation (second) in Step 4, Click Here)

The crest withstand voltage of the protective gap in per unit is thus.

697 kV + 449 kV = 1.55 p.u.

If this is acceptable, the protective gap could be installed with a 5.8-foot spacing, and the minimum approach distance could then be reduced to 9.0 feet.

4. Comments and variations. The 1-foot ergonomic component of the minimum approach distance must be added to the electrical component of the minimum approach distance calculated under paragraph IV.D of this appendix. The calculations may be varied by starting with the protective gap distance or by starting with the minimum approach distance.

E. Location of Protective Gaps

1. Installation of the protective gap on a structure adjacent to the work site is an acceptable practice, as this does not significantly reduce the protection afforded by the gap.

2. Gaps installed at terminal stations of lines or circuits provide a given level of protection. The level may not, however, extend throughout the length of the line to the worksite. The use of gaps at terminal stations must be studied in depth. The use of substation terminal gaps raises the possibility that separate surges could enter the line at opposite ends, each with low enough magnitude to pass the terminal gaps without flashover. When voltage surges are initiated simultaneously at each end of a line and travel toward each other, the total voltage on the line at the point where they meet is the arithmetic sum of the two surges. A gap that is installed within 0.5 mile of the work site will protect against such intersecting waves. Engineering studies of a particular line or system may indicate that adequate protection can be provided by even more distant gaps.

3. If protective gaps are used at the work site, the work site impulse insulation strength is established by the gap setting. Lightning strikes as much as 6 miles away from the worksite may cause a voltage surge greater than the insulation withstand voltage, and a gap flashover may occur. The flashover will not occur between the employee and the line, but across the protective gap instead.

4. There are two reasons to disable the automatic-reclosing feature of circuit-interrupting devices while employees are performing live-line maintenance:

  • To prevent the reenergizing of a circuit faulted by actions of a worker, which could possibly create a hazard or compound injuries or damage produced by the original fault;
  • To prevent any transient overvoltage caused by the switching surge that would occur if the circuit were reenergized.

However, due to system stability considerations, it may not always be feasible to disable the automatic-reclosing feature.

____________________
Footnote 1 Sigma is the symbol for standard deviation. (Back to Text)

Footnote 2 The detailed design of a circuit interrupter, such as the design of the contacts, of resistor insertion, and of breaker timing control, are beyond the scope of this appendix. These features are routinely provided as part of the design for the system. Only features that can limit the maximum switching transient overvoltage on a system are discussed in this appendix. (Back to Text)

Footnote 3 Surge arrestor application is beyond the scope of this appendix. However, if the arrestor is installed near the work site, the application would be similar to protective gaps as discussed in paragraph IV.D. of this appendix. (Back to Text)

Footnote 4 Since a given rod gap of a given configuration corresponds to a certain withstand voltage, this method can also be used to determine the minimum approach distance for a known gap. (Back to Text)

Footnote 5 The withstand voltage for the gap is equal to 85 percent of its critical flashover voltage. (Back to Text)

Footnote 6 Switch steps 1 and 2 if the length of the protective gap is known. The withstand voltage must then be checked to ensure that it provides an acceptable probability of gap flashover. In general, it should be at least 1.25 times the maximum crest operating voltage. (Back to Text)

Footnote 7 Since the value of the saturation factor, a, in Equation (2) is dependent on the maximum voltage, several iterative computations may be necessary to determine the correct withstand voltage using the equation. A graph of withstand voltage vs. distance is given in ANSI/IEEE Std. 516, 1987. This graph could also be used to determine the appropriate withstand voltage for the minimum approach distance involved. (Back to Text)

Footnote 8 To eliminate unwanted flashovers due to minor system disturbances, it is desirable to have the crest withstand voltage no lower than 1.25 p.u. (Back to Text)